专业为石油天然气、气体净化、化工尾气回收利用、烟气二氧化碳捕集及利用、化工医药行业提供工艺技术、服务和设计

在化工生产过程中,原料与产品、库区的储存往往依赖于储罐。
当涉及储存高熔点、在常温下容易凝固的物料时,为了降低储存物料的粘度并提升其流动性;在严寒地区,储存冰点高于环境温度的物质,通常会采用内加热盘管和外盘管伴热保温这两种方式。
内盘管计算
储罐伴热内盘管计算核心是热负荷→总传热系数 K→换热面积 A→盘管长度 / 圈数 / 压降,按稳态传热与自然对流 / 冷凝模型计算。
一、设计基础参数(先明确)
储罐容积 V、内径 D、高度 H、介质(密度 ρ、比热容 cₚ、导热系数 λ、粘度 μ、凝固点 / 维持温度 tₘ)
加热介质(蒸汽 / 热水 / 导热油,压力 / 温度、潜热 r)
环境温度 tₐ、保温层厚度 δ、导热系数 λᵢₙₛ
加热时间 t、安全系数(1.1~1.2)
二、热负荷计算(总需热量)
1. 介质升温吸热(静态)
Qoil=ρVcp(tfinal−tinitial)
单位:J 或 kWh(÷3.6×10⁶)
2. 罐壁散热损失(稳态)
Qloss=KlossAtotal(tavg−ta)
总散热面积:Atotal=πDH+2×πD2/4
散热传热系数:Kloss=1/(δ/λins+1/hout)
表面换热系数 hₒᵤₜ≈10~15 W/(m²・K)
3. 设计热负荷(含余量)
Qdesign=(Qoil+Qloss⋅t)/t ×1.1∼1.2
单位:W 或 kW
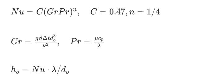
三、总传热系数 K(核心)
hᵢ:管内冷凝 / 对流换热系数(蒸汽冷凝 hᵢ≈5000~10000 W/(m²・K))
hₒ:管外介质自然对流换热系数(油品 hₒ≈150~300 W/(m²・K))
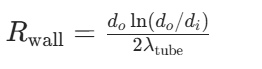
R_wall:管壁热阻,
Rբ:污垢热阻(油品取 0.0002~0.0005 m²・K/W)
管外自然对流(油品,GrPr>10⁹)
β:体积膨胀系数(油品≈0.0007 1/K)
四、换热面积与盘管尺寸
常用管径:DN25~DN65;流速 0.3~0.8 m/s;并联组数 m
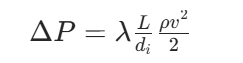
五、管内压降(蒸汽 / 液体)
1. 蒸汽冷凝(近似水平管)
λ:摩擦系数;v:管内流速
2. 液体(热水 / 导热油)
同常规管流压降计算,控制 ΔP<50 kPa。
六、工程设计要点
蒸汽上进下出,液体下进上出;多组并联避免凝液积存。
盘管中心距罐壁≥100~200 mm;圈间距 150~300 mm。
总传热系数经验值:蒸汽 - 油品 K≈150~250 W/(m²・K),可快速估算。
安全裕度:面积取计算值 ×1.1~1.2。
七、计算示例(简版)
储罐:V=100 m³,D=5 m,介质重油,t 维持 60℃,tₐ=0℃
蒸汽:0.4 MPa,t=151.8℃,K=200 W/(m²・K)
热负荷 Q=80 kW;Δtₗₘ=(151.8-60)/ln (...)≈85℃
面积 A=80000/(200×85)=4.7 m²
选 DN40(dₒ=48 mm),盘管直径 Dc=4.5 m
单圈长度 =π×4.5=14.14 m
圈数 n=4.7/(π×0.048)/14.14≈2.2 圈(取 3 圈)
外盘管计算
当储罐运用内盘管加热时,在部分环境下存在明显弊端,即加热介质容易出现内漏的情况。一旦加热介质内漏,储存的物料就会被污染,进而发生变质,最终影响物料的品质。鉴于此,在这种情形下,可以采用外盘管加热。
在物料储存过程中,由于环境温度的变化,致使物料的热量不断散失。伴热保温储罐的热量损失主要包括罐壁热量损失、罐顶热量损失和罐底热量损失三个部分。
1储罐总热量损失

式中:
Q— 储罐总热量损失,W。
实际工程计算中,总热量损失需增加 20% 安全裕量.
2 传热系数的计算和选择

3 伴热管传热系数 计算

外盘管一般用 DN25/DN32/DN40 钢管,对应外径:
若计算圈数 > nₘₐₓ,就多根并联。
微信咨询